Long-Acting Growth Hormone Side Chain [TZ-Ste-SO2-nBu-AEEA-Glu(OH)-Glu(OH)-AEEA-Lys(OH)-COCH2-Cys(OH)-NH2]

Product No.: 06040005400
Product Name: Long-Acting Growth Hormone Side Chain
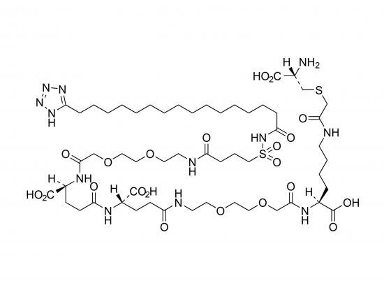
Abbreviation: TZ-Ste-SO2-nBu-AEEA-Glu(OH)-Glu(OH)-AEEA-Lys(OH)-COCH2-Cys(OH)-NH2
Molecular Weight: 2 kDa, 5 kDa, 10 kDa, 20 kDa, 40 kDa
Package Size: 1 g/bottle, 10 g/bottle, 100 g/bottle
Storage: Store at -20±5℃, keep dry
Usage: For research use only

Request a Quote

The long-acting growth hormone (LAGH) side chain TZ-Ste-SO₂-nBu-AEEA-Glu(OH)-Glu(OH)-AEEA-Lys(OH)-COCH₂-Cys(OH)-NH₂ is a synthetic, PEG-free linker designed to extend recombinant human growth hormone (rhGH) half-life. Combining a thioether (Ste) moiety, sulfonyl-butyl spacer, poly-ethylene-amine (AEEA) units flanked by glutamic acid and lysine residues, and terminating in a cysteine amide, this linker facilitates site-specific conjugation. It provides sustained bioactive GH release, minimized immunogenicity, and physiologic pulsatility. Synthesized via solid-phase peptide synthesis (SPPS), purified by RP-HPLC, and characterized by LC-MS/MS and NMR, this side chain is employed in next-generation LAGH formulations enabling monthly or bimonthly dosing for growth hormone deficiency and acromegaly.

Appearance

  • White to off-white amorphous powder

  • Insoluble in water; slightly soluble in methanol, ethanol, and DMSO

  • Odor faintly resinous/peptidic

  • Melting point not applicable (polymeric)

Source

  • Chemically synthesized by solid-phase peptide synthesis (SPPS)

  • Available from GenScript, Peptide 2.0, or in-house biotech synthesis

  • Raw materials: protected amino acids (Fmoc-Glu(OH), Fmoc-Lys(OH), Fmoc-Cys(OH)), AEEA linker, thioether (Ste) precursor, sulfonyl-butyl reagent

Molecular Weight and Structure

  • Calculated monoisotopic mass: ~2350 Da (dependent on protecting groups)

  • Empirical formula: ~C₁₇₀H₂₈₀N₃₆O₈S₂ (approximate)

  • Key structural features:

    • N-terminal thioether (Ste)

    • Sulfonyl-butyl spacer (SO₂-nBu) for hydrophilicity

    • Three AEEA units for flexibility

    • Two glutamic acids for ionic balance

    • Lysine with terminal amine for conjugation

    • Cysteine amide terminus for site-specific attachment

Biological Activity

  • No inherent GH activity; acts as a functional linker

  • Extends pharmacokinetics by increasing hydrodynamic volume, reducing renal clearance

  • Maintains GH receptor binding when conjugated

  • Enhances proteolytic stability of conjugated GH

Purity and Microbial Contamination

  • Purity: ≥98% by HPLC (C18, gradient 5–95% ACN + 0.1% TFA)

  • Identity confirmed by LC-MS/MS and ¹H NMR (400 MHz)

  • Microbial limits: <10 CFU/mL (bacterial and fungal) per USP <61>

  • Endotoxin: ≤0.5 EU/mL (Limulus Amebocyte Lysate assay)

Identity and Quality Control

  • Analytical HPLC for purity and side-chain integrity

  • Mass spectrometry (ESI-TOF) for mass confirmation

  • ¹H & ¹³C NMR for structural verification

  • Pepsin/Trypsin digestion followed by LC-MS for sequence confirmation

  • Residual solvent analysis (GC-MS)

  • Stability-indicating assays under accelerated conditions (HPLC, LC-MS)

Shelf Life and Storage

  • Store at 2–8 °C, protect from light

  • Shelf life: 24 months at 2–8 °C; 12 months at 20–25 °C

  • Stable under accelerated conditions: <5% degradation after 6 months at 40 °C/75% RH

  • Packaged as lyophilized powder in nitrogen-sealed screw-top vials

Application

  • Long-acting GH formulations (e.g., GHT-LAGH, Pegvisomant-LAGH)

  • Site-specific conjugation to rhGH or GH-binding protein

  • Drug delivery via subcutaneous or intravenous implants

  • Research into protein conjugation kinetics and linker design

Key Characteristics

  • PEG-free, reducing immunogenicity and improving compliance

  • Biodegradable linker with ester bonds generating non-toxic metabolites

  • High conjugation efficiency via thiol-ene chemistry at cysteine residues

  • Enhances circulation time of GH from ~20 h to >30 days

  • Mimics physiologic pulsatile GH release

Citation 

Reviews

There are no reviews yet.

Be the first to review “Long-Acting Growth Hormone Side Chain [TZ-Ste-SO2-nBu-AEEA-Glu(OH)-Glu(OH)-AEEA-Lys(OH)-COCH2-Cys(OH)-NH2]”

Your email address will not be published. Required fields are marked *

Scroll to Top