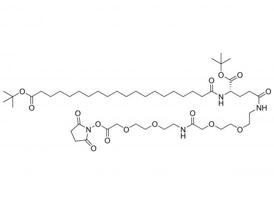
C20-OtBu-Glu(OtBu)-AEEA-AEEA-OSU is a synthetic glutamic acid derivative designed for advanced peptide or protein modification. It features a glutamic acid core with both carboxyl groups protected as tert-butyl esters (OtBu). The alpha-amino group is acylated with a C20 (eicosanyl) fatty acid chain conferring lipophilicity. Two AEEA units form a hydrophilic, PEG-like spacer linked to the side chain carboxyl group, terminating in an N-hydroxysuccinimide (OSU) ester. The OSU ester enables conjugation to primary amines of peptides, proteins, or other molecules. This compound introduces a lipid anchor and flexible hydrophilic spacer, enhancing membrane affinity, water solubility, and bioavailability. The protecting groups facilitate selective chemical synthesis.
Appearance
-
White to off-white solid, potentially waxy due to the long alkyl chain
Source
-
Chemically synthesized, not naturally occurring
-
Available through specialized suppliers focusing on modified amino acids, PEGylation, and bioconjugation reagents
Molecular Weight
-
Estimated between 800–1000 g/mol (exact value depends on component variants and protecting groups)
Structure
-
C20 eicosanyl fatty acid attached to alpha-amino group of glutamic acid via amide bond
-
Glutamic acid core with tert-butyl ester protections on carboxyl groups
-
Two AEEA linkers attached sequentially on side chain carboxyl group via amide bonds
-
Terminal OSU ester at C-terminus of second AEEA unit
Biological Activity
-
Generally biologically inert as an isolated molecule
-
Activity depends on what it is conjugated to
-
Provides membrane anchoring through the lipophilic C20 chain
-
Improves solubility and reduces steric hindrance via AEEA spacers
-
OSU ester facilitates covalent conjugation to primary amines
Purity and Microbial Contamination
| Purity and Microbial Contamination | Specification |
|---|---|
| Purity | Typically ≥90%, HPLC analysis essential |
| Microbial contamination | Should be minimal, especially for in vivo |
| Testing | Bacterial endotoxin (LAL assay), sterility testing |
| Certificate of Analysis (CoA) | Provides purity, residual solvents, endotoxin data |
Identity and Quality Control
| Identity and Quality Control | Specification |
|---|---|
| Mass Spectrometry (MS) | Confirms molecular mass |
| Nuclear Magnetic Resonance (NMR) spectroscopy (¹H, ¹³C) | Confirms structure |
| Infrared (IR) Spectroscopy | Verifies functional groups |
| High-Performance Liquid Chromatography (HPLC) | Determines purity |
| Amine quantification assays | Verifies presence and reactivity of OSU ester |
Shelf Life and Storage
-
Likely shorter than simpler reagents due to OSU ester hydrolysis sensitivity; typically 6–12 months
-
Store at -20°C or below, in dry, inert atmosphere (argon or nitrogen)
-
Protect from moisture, light, and heat
Applications
-
Protein and peptide modification introducing lipid anchors and hydrophilic spacers
-
Enhancing membrane affinity and bioavailability of conjugated molecules
-
PEGylation and bioconjugation reagent
-
Drug delivery: creating membrane-targeted, hydrophilic drug conjugates
-
General reagent for conjugating molecules to primary amines
Key Characteristics
-
Lipophilic: C20 eicosanyl chain provides strong membrane association
-
Hydrophilic: AEEA spacers confer PEG-like solubility and reduce steric effects
-
Reactive: OSU ester efficiently couples with primary amines
-
tBu Protection: tert-butyl esters protect glutamic acid carboxyl groups during synthesis
Citation
-
Search “C20 fatty acid protein modification” or “lipid modification protein conjugation” for fatty acid-based conjugates
-
Explore “PEGylation protein conjugation” or “AEEA protein modification” for PEG-like linker studies
-
Look up “OSU ester protein conjugation” or “NHS ester protein modification” for reactive ester chemistries
-
Review lipopeptide synthesis literature for use of lipid anchors
-
Search “PEGylation for drug delivery” for enhanced drug bioavailability
-
Utilize chemical databases (Reaxys, SciFinder) for related compounds
-
Check supplier catalogs for application notes and data sheets
-
Use Google Scholar with keywords like “C20 protein modification” or “AEEA OSU conjugation” to find articles

Reviews
There are no reviews yet.