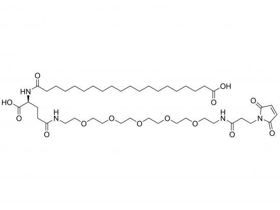
HO-Ara-Glu(NH-PEG6-NH-Mal)-OH is a synthetic heterobifunctional crosslinker based on a glutamic acid scaffold. It features an arabinose (Ara) moiety at the α-carboxyl position and a maleimide (Mal) group linked to the γ-carboxyl group via a six-unit polyethylene glycol (PEG6) spacer. This combination provides a carbohydrate handle for lectin interactions and a thiol-reactive maleimide for stable conjugation with cysteine residues. The PEG6 spacer imparts hydrophilicity, flexibility, and reduces nonspecific binding, making it ideal for targeted drug delivery, protein surface modification, and nanoparticle functionalization.
Appearance
-
White to off-white solid or viscous liquid
-
Likely hygroscopic
Source
-
Chemically synthesized by specialized bioconjugation reagent manufacturers or custom synthesis labs
-
Not typically stocked by general chemical suppliers
Molecular Weight
-
Approximately 619.6 g/mol (theoretical value; may vary with counterions, protecting groups, or linkage chemistry)
Structure
-
Glutamic acid backbone
-
Arabinose linked to α-carboxyl group
-
PEG6 spacer attached to γ-carboxyl, terminated with maleimide
-
Linkages via ester or amide bonds depending on synthesis
Biological Activity
-
No inherent biological activity; function depends on conjugated molecules
-
PEG spacer improves biocompatibility and reduces immunogenicity
-
Arabinose may interact with lectins or carbohydrate-binding proteins
-
Glutamic acid core may influence cell metabolism
Purity and Microbial Contamination
| Purity and Microbial Contamination | Specification |
|---|---|
| Purity | >90%, ideally >95% by HPLC |
| Microbial contamination | Concern if used for in vivo applications |
| Endotoxin levels | Should be minimized |
| Certificate of Analysis (CoA) | Details purity, residual solvents, endotoxin |
Identity and Quality Control
| Identity and Quality Control | Specification |
|---|---|
| Mass Spectrometry (MS) | Confirms molecular weight |
| Nuclear Magnetic Resonance (¹H & ¹³C NMR) | Confirms chemical structure |
| High-Performance Liquid Chromatography (HPLC) | Determines purity |
| Functionality testing | Verifies reactivity of arabinose and maleimide |
| Confirmation of free carboxylic acids | Verified by appropriate analytical methods |
Shelf Life and Storage
-
Store at –20°C under dry, inert atmosphere (argon or nitrogen)
-
Protect from moisture and light
-
Maleimide group sensitive to hydrolysis; avoid water exposure
-
Shelf life approximately 6–12 months
Application
-
Protein-carbohydrate conjugation for targeting or controlled release
-
Surface modification via carbohydrate handles
-
Antibody-drug conjugates (ADCs) using maleimide chemistry
-
Nanoparticle modification for targeted delivery
-
Crosslinking thiol-containing molecules with arabinose conjugation
Key Characteristics
-
Heterobifunctional: arabinose and maleimide reactive groups
-
Hydrophilic PEG6 spacer reduces nonspecific binding
-
PEG imparts biocompatibility
-
Maleimide selectively reacts with sulfhydryl groups
-
Arabinose enables sugar-mediated interactions
-
Glutamic acid scaffold provides versatile branching
Citation
-
Glutamic Acid as Scaffold: search “Glutamic acid-based dendrimers for drug delivery”
-
PEG Maleimide Chemistry: search “PEGylation of proteins using maleimide chemistry”
-
Carbohydrate-Protein Conjugates: search “Carbohydrate-modified proteins for targeted drug delivery”
-
Heterobifunctional PEG Linkers: search “Heterobifunctional PEG linkers for protein crosslinking”
-
Maleimide-Thiol Drug Delivery: search “Maleimide-thiol coupling for controlled drug release”
-
Arabinose Targeting Ligand: search “Arabinose-modified nanoparticles for targeted delivery”
-
PEGylation for Biocompatibility: search “PEGylation to improve therapeutic protein biocompatibility”
-
ADC Linker Design: search “Optimizing linker design for antibody-drug conjugates”
-
Multivalent Carbohydrate Display: search “Multivalent carbohydrate display on protein scaffolds”
-
Amino Acid-Based Linkers: search “Amino acids as building blocks for bioconjugation”

Reviews
There are no reviews yet.