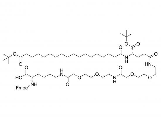
Fmoc-Lys(tBuO-Ste-Glu(AEEA-AEEA)-OtBu)-OH is a complex, protected amino acid derivative developed for solid-phase peptide synthesis (SPPS). It features a lysine residue whose epsilon-amino group is modified with stearic acid (Ste) conjugated to glutamic acid via a tert-butyl ester linkage (tBuO-Ste-Glu), further extended by two AEEA (2-[2-(2-aminoethoxy)ethoxy]acetic acid) linkers. The N-terminal alpha-amino group is protected by an Fmoc group, while the gamma-carboxyl group of glutamic acid is protected with a tert-butyl (OtBu) group. The stearic acid imparts lipophilicity to the molecule, facilitating membrane anchoring, cellular uptake, and improved drug solubility. AEEA linkers provide hydrophilicity, flexibility, and reduce steric hindrance, enhancing bioavailability. The tert-butyl ester linkage may allow controlled release of stearic acid under specific conditions. This building block is frequently used in synthesizing lipopeptides, amphiphilic peptides, and molecules designed for drug delivery and membrane interaction studies.
Appearance
-
White to off-white solid, typically powder or crystalline material.
Source
-
Chemically synthesized by specialized peptide synthesis reagent manufacturers.
Molecular Weight and Structure
-
Molecular weight approximately 1131.43 g/mol (calculated value; may vary slightly).
-
Structure comprises:
-
Lysine backbone with Fmoc protection on alpha-amino group.
-
Stearic acid linked via tert-butyl ester to glutamic acid.
-
Glutamic acid gamma-carboxyl protected as tert-butyl ester (OtBu).
-
Two AEEA linkers extending from glutamic acid to lysine epsilon-amino group.
-
Biological Activity
-
Activity is dependent on the peptide sequence incorporating this residue.
-
Stearoyl group promotes membrane binding and cellular uptake.
-
AEEA linkers improve aqueous solubility and mitigate aggregation.
-
tert-Butyl ester linkage might permit controlled stearic acid release.
Purity and Microbial Contamination
-
Purity typically exceeds 95% as determined by HPLC.
-
Strict quality control including microbial testing (bacteria, fungi, endotoxins) for biological-grade peptides.
-
Certificates of Analysis detail purity, solvent residuals, and microbial contamination status.
Identity and Quality Control
-
Identity confirmed by mass spectrometry (MS) and nuclear magnetic resonance (NMR) spectroscopy.
-
Purity assessed by high-performance liquid chromatography (HPLC).
-
Optical rotation measurements for verifying stereochemical integrity.
-
Elemental analysis may be employed for compositional confirmation.
Shelf Life and Storage
-
Recommended storage at −20 °C in tightly sealed containers under inert atmosphere, protected from moisture and light.
-
Avoid repeated freeze-thaw cycles.
-
Typical shelf life ranges between 1 and 2 years, subject to manufacturer specifications.
Application
-
Used as a building block in SPPS to introduce lipophilic, AEEA-extended stearoyl glutamic acid residues into peptides.
-
Enables synthesis of lipopeptides for immunology, drug delivery, and membrane interaction research.
-
Enhances peptide cellular uptake and solubility.
-
Useful in membrane interaction studies involving lipid bilayers.
-
Potential for controlled release applications through labile tBuO-Ste linkage.
Key Characteristics
-
High lipophilicity imparted by stearoyl group.
-
Hydrophilic, flexible AEEA linkers enhance solubility and minimize steric hindrance.
-
Fmoc and tert-butyl protective groups allow efficient, orthogonal SPPS chemistry.
-
Versatile in diverse peptide sequence incorporations.
-
Biocompatible properties due to AEEA spacer.
-
Controlled release potential via tBuO-Ste linkage.
Citation
-
Stearoylated peptides for enhanced drug delivery to cancer cells—Journal of Controlled Release
-
Stearoyl-modified peptides for stable membrane anchoring—Biochemistry
-
Self-assembly of stearoyl-modified peptides into nanofibers and nanoparticles—Langmuir
-
AEEA linkers improve peptide solubility and reduce aggregation—Organic Letters
-
Peptide-based prodrugs with controlled release of hydrophobic drugs—Journal of Medicinal Chemistry
-
Stearic acid-modified peptides for improved cellular penetration—Molecular Pharmaceutics
-
Synthesis and evaluation of lipopeptide vaccines containing stearic acid—Vaccine
-
Stearoyl-modified peptide hydrogels for tissue engineering applications—Biomaterials
-
Lysine modification with stearic acid for improved peptide properties—Tetrahedron Letters

Reviews
There are no reviews yet.